Datasets:
text
string | target
int64 | SOURCE_FILE
string | tweet_id
float64 | filename
string | event_type
string | event_type_detail
string | label
string |
|---|---|---|---|---|---|---|---|
RT @Snoopy: Beagle Hugs for Oklahoma. http://t.co/WJhTierc7d
| 1
|
60k_disaster-watch-classifier-master_disaster_watch_clean.csv
| 336,841,998,281,613,300
|
60k_disaster-watch-classifier-master_disaster_watch_clean.csv
|
storm
|
tornado
|
on-topic
|
So, here's what I'm watching most closely with #Dorian this morning. I will breathe a sigh of relief when I see the storm get north of 27.5deg north latitude. Here's why Fort Myers: 26.6deg N Moore Haven: 26.8deg N Arcadia: 27.2deg N (1 of 2) #SWFL
| 1
|
76k_HumAID_humaid_clean.csv
| 1,167,778,500,998,258,700
|
hurricane_dorian_2019_train.tsv
|
storm
|
hurricane
|
other_relevant_information
|
It was reported that Malaysian firms were keen in investing in toll roads, and electricity and seaport projects.
| 0
|
200k_crisis_datasets_benchmarks_v1.0_informativness_clean.csv
| 27,031
|
crisis_consolidated_informativeness_filtered_lang_en_test.tsv
|
unknown
|
unknown
|
not_informative
|
RT @lauriejlee: Thanks @alstewitn @itvnews The @decappeal broadcast partners are essential for telling the stories of the need in disasters%0U_
| 1
|
22k_ACL_ICWSM_2018_datasets_acl_icwsm_clean.csv
| 591,903,260,254,023,700
|
2015_Nepal_Earthquake_dev.tsv
|
earthquake
|
earthquake
|
relevant
|
Wind so strong in Cuba it destroyed the instruments that measure it. #irma #warmwaters #climatechange. @CNN
| 1
|
76k_HumAID_humaid_clean.csv
| 906,474,886,167,593,000
|
hurricane_irma_2017_train.tsv
|
storm
|
hurricane
|
infrastructure_and_utility_damage
|
"Nice how my most recent emails from RGU are basically 'we hope nobody has Ebola' and 'don't take your passport in town and lose it'"
| 1
|
200k_crisis_datasets_benchmarks_v1.0_informativness_clean.csv
| 514,325,686,061,113,340
|
crisis_consolidated_informativeness_filtered_lang_en_test.tsv
|
unknown
|
unknown
|
informative
|
Check out this post in the Hurricane Maria vibe: Maria destroys homes, triggers flooding in Puerto Rico
| 1
|
76k_HumAID_humaid_clean.csv
| 910,670,846,687,158,300
|
hurricane_maria_2017_train.tsv
|
storm
|
hurricane
|
infrastructure_and_utility_damage
|
@Ambisinister_ @lintgod @Ambisinister_ sound good let's go
| 0
|
150k_archiveteam
| 916,923,269,281,873,900
|
150k_archiveteam
|
unknown
|
unknown
|
target_zero
|
RT @LanceBass: Share this around please: #PuertoRico Hurricane #Maria Relief Fund by #JoyceGiraud | Generosity
| 1
|
76k_HumAID_humaid_clean.csv
| 910,689,677,635,653,600
|
hurricane_maria_2017_train.tsv
|
storm
|
hurricane
|
other_relevant_information
|
.@CityofCalgary activates emergency plan amid severe thunderstorm warning http://t.co/pc7S8NxJ6Q #yyc #abstorm http://t.co/9xoHmMlMDY
| 1
|
200k_crisis_datasets_benchmarks_v1.0_informativness_clean.csv
| 778,249,379
|
crisis_consolidated_informativeness_filtered_lang_en_test.tsv
|
unknown
|
unknown
|
informative
|
This is my uncle please help any thing helps. #HoustonStrong #HarveyFlood #HurricaneHarvey
| 1
|
76k_HumAID_humaid_clean.csv
| 902,714,490,579,550,200
|
hurricane_harvey_2017_train.tsv
|
storm
|
hurricane
|
requests_or_urgent_needs
|
A 7.1 magnitude earthquake rocked remote Yushu, high in China's northwest Qinghai province last Wednesday - the strongest quake to hit the area since 1976.
| 1
|
30k_disaster-response-classification-main_disres_clean.csv
| null |
30k_disaster-response-classification-main_disres_clean.csv
|
earthquake
|
earthquake
|
weather_related,earthquake
|
RT @dzIQ990: Tropical Storm #RubyPH expected to landfall at Torrijos, Marinduque between 11am-12nn today | @erwinaguilonINQ
| 1
|
50k_CrisisNLP_CrisisNLP_clean.csv
| 541,799,457,814,097,900
|
2014_Philippines_Typhoon_Hagupit_en_CF_labeled_data.tsv
|
storm
|
typhoon
|
caution_and_advice
|
RT @Kiva: These artisans in #Chile used a group loan to buy materials for their handcrafted products http://t.co/MZJgQyFsVy
| 0
|
50k_CrisisNLP_CrisisNLP_clean.csv
| 452,688,280,342,237,200
|
2014_Chile_Earthquake_en_CF_labeled_data.tsv
|
earthquake
|
earthquake
|
not_related_or_irrelevant
|
#Military #Photo of the Day: #US #Navy Aircrewman Carries #Hurricane Maria Evacuee - https://t.co/O41CejAoPC https://t.co/6daEaVVjF9
| 1
|
16k_CrisisMMD_v2.0_crisismmdv2_clean.csv
| 915,122,523,871,707,100
|
hurricane_maria_final_data.tsv
|
storm
|
hurricane
|
informative_other_relevant_information
|
Live coverage of the Scotland dressing room. #SVNSCO https://t.co/1h0wdXq0j4
| 0
|
150k_archiveteam
| 917,142,929,164,197,900
|
150k_archiveteam
|
unknown
|
unknown
|
target_zero
|
RT @biebersdepths: which era did you stan justin bieber https://t.co/QNxFjaodnI
| 0
|
150k_archiveteam
| 1,408,871,126,042,873,900
|
150k_archiveteam
|
unknown
|
unknown
|
target_zero
|
RT @EvgeniaKovda: @Eileen15Jones is back and taking on a new film "Shirley"! https://t.co/L7C3xOBXnl
| 0
|
150k_archiveteam
| 1,280,225,979,663,876,000
|
150k_archiveteam
|
unknown
|
unknown
|
target_zero
|
Already addicted. See what he s craving and flood my DMs for when I get up RTSLUTT2018 RTbetapet RTP1G https://t.co/OQwaIS7C3Q
| 0
|
14k_eyewitness_tweets_annotations_14k_public_eyewitness_clean.csv
| null |
floods_eyewitness_crowdflower_2000.tsv
|
flood
|
flood
|
dont_know
|
@BBCBreaking -my mom in Puerto Rico is using lawn lights & an inverter. Please don't stop reporting on PR. https://t.co/fy0eZqtqbV
| 1
|
16k_CrisisMMD_v2.0_crisismmdv2_clean.csv
| 928,237,929,570,369,500
|
hurricane_maria_final_data.tsv
|
storm
|
hurricane
|
informative_other_relevant_information
|
@urfordy back thumb button on mouse
| 0
|
150k_archiveteam
| 1,158,821,997,205,434,400
|
150k_archiveteam
|
unknown
|
unknown
|
target_zero
|
Wildfires spark evacuation order, state of emergency in https://t.co/27ujuw0aPh
| 1
|
14k_eyewitness_tweets_annotations_14k_public_eyewitness_clean.csv
| null |
forestfires_eyewitness_crowdflower_2000.tsv
|
fire
|
forest_fire
|
non-eyewitness
|
RT @TheAPJournalist: Today's @sfchronicle front page: "Accuser, nominee firmly state cases" https://t.co/VtQOFZgcfR
| 0
|
150k_archiveteam
| 1,045,791,342,863,908,900
|
150k_archiveteam
|
unknown
|
unknown
|
target_zero
|
RT @maayarogers: Lol. Who even knows what to do during a hurricane drill at school??
| 1
|
60k_disaster-watch-classifier-master_disaster_watch_clean.csv
| 262,619,795,369,906,180
|
60k_disaster-watch-classifier-master_disaster_watch_clean.csv
|
storm
|
hurricane
|
on-topic
|
RT @OFCBGYO_MEMBERS: Hi my ACEs! #BGYO_Nate https://t.co/RVbZNQXHIH
| 0
|
150k_archiveteam
| 1,409,020,132,857,245,700
|
150k_archiveteam
|
unknown
|
unknown
|
target_zero
|
@realDonaldTrump So would this also include all hurricane prone coastlines as they now exist? Just curious. https://t.co/4SNCrdI9LY
| 0
|
14k_eyewitness_tweets_annotations_14k_public_eyewitness_clean.csv
| null |
hurricanes_eyewitness_annotations_2004.tsv
|
storm
|
hurricane
|
dont_know
|
RT @Newsmax_Media: Sandy Storms Across Pennsylvania Leaving Flooded NYC in Dark http://t.co/54sIVW57 via @Newsmax_Media
| 1
|
200k_crisis_datasets_benchmarks_v1.0_informativness_clean.csv
| 223,607,205
|
crisis_consolidated_informativeness_filtered_lang_en_test.tsv
|
storm
|
hurricane
|
informative
|
I'm gonna guess $475 million in total. Probably $40 million a year.
| 0
|
150k_archiveteam
| 1,280,225,774,168,150,000
|
150k_archiveteam
|
unknown
|
unknown
|
target_zero
|
@trumpsterst @JackPosobiec A day late and a dollar short to have any real impact.
| 0
|
150k_archiveteam
| 1,045,824,217,835,589,600
|
150k_archiveteam
|
unknown
|
unknown
|
target_zero
|
RT @joemfbrown: Very reminiscent of #HurricaneHarvey. Scary.
| 0
|
76k_HumAID_humaid_clean.csv
| 1,039,460,196,932,886,500
|
hurricane_florence_2018_dev.tsv
|
storm
|
hurricane
|
not_humanitarian
|
RT @Jenn_Jesus: I'm so tired of half ass relationships
| 0
|
150k_archiveteam
| 917,079,964,280,934,400
|
150k_archiveteam
|
unknown
|
unknown
|
target_zero
|
"DIY armor by ISIS. Bar armor only in the front shows it's a truck bomb meant to drive straight at the target. https://t.co/7ggJtmMICn"
| 1
|
200k_crisis_datasets_benchmarks_v1.0_informativness_clean.csv
| 726,434,700,588,245,000
|
crisis_consolidated_informativeness_filtered_lang_en_test.tsv
|
unknown
|
unknown
|
informative
|
RT @LatinoVoices: The aftermath of Chile's 8.2 magnitude earthquake and powerful aftershock (PHOTOS) http://t.co/xoZQlqoTkw
| 1
|
50k_CrisisNLP_CrisisNLP_clean.csv
| 451,901,143,372,017,660
|
2014_Chile_Earthquake_en_CF_labeled_data.tsv
|
earthquake
|
earthquake
|
other_useful_information
|
Tropical #CycloneIdai has affected an estimated 1.8 million people in #Mozambique alone, according to the @UN. Hundreds of thousands more have been impacted in neighbouring #Zimbabwe and #Malawi. This is our response in Mozambique.
| 1
|
76k_HumAID_humaid_clean.csv
| 1,111,539,134,487,765,000
|
cyclone_idai_2019_test.tsv
|
storm
|
cyclone
|
other_relevant_information
|
RT @kellycappadocio: Love being with my girls #colorado #loveyouall #summerfamily http://t.co/dw5yfJfJ
| 0
|
28k_CrisisLexT26-v1.0_crisilext26_clean.csv
| 218,914,340,479,307,780
|
2012_Colorado_wildfires-tweets_labeled.csv
|
fire
|
wild_fire
|
Not related_Not labeled_Not labeled
|
@Etunar @Bernadedt Ouf. Do you eat with that foul mouth?
| 0
|
150k_archiveteam
| 1,045,566,612,068,347,900
|
150k_archiveteam
|
unknown
|
unknown
|
target_zero
|
RT @LILUZIVERT: Last Time Saying This I Am Not From This World 🌑🥀®️.
| 0
|
150k_archiveteam
| 917,223,786,944,049,200
|
150k_archiveteam
|
unknown
|
unknown
|
target_zero
|
A #meteor fell on @Russia .... come on guys, little creativity please, this is how #horror movies start...:D
| 1
|
28k_CrisisLexT26-v1.0_crisilext26_clean.csv
| 302,439,773,241,483,260
|
2013_Russia_meteor-tweets_labeled.csv
|
meteor
|
meteor
|
Related - but not informative_Not applicable_Outsiders
|
#eqnz ChCh Operations Centre now activated fully
| 1
|
76k_HumAID_humaid_clean.csv
| 797,797,082,350,223,400
|
kaikoura_earthquake_2016_train.tsv
|
earthquake
|
earthquake
|
other_relevant_information
|
@imatrumpgirl Same old, boring, talking points, not one word spoken to his loyalists facing years in prison, or Ashley Babbit. LOSER!
| 0
|
150k_archiveteam
| 1,408,967,125,239,165,000
|
150k_archiveteam
|
unknown
|
unknown
|
target_zero
|
if l have the money, l will buy a car
| 1
|
200k_crisis_datasets_benchmarks_v1.0_informativness_clean.csv
| 9,335
|
crisis_consolidated_informativeness_filtered_lang_en_train.tsv
|
unknown
|
unknown
|
informative
|
@ConceitedKid_ I miss you bro come back to Mee.
| 0
|
60k_disaster-watch-classifier-master_disaster_watch_clean.csv
| 336,709,756,234,383,360
|
60k_disaster-watch-classifier-master_disaster_watch_clean.csv
|
storm
|
tornado
|
off-topic
|
Oh-Oh :/ !! #meteorit http://t.co/gHoPbC7c
| 0
|
28k_CrisisLexT26-v1.0_crisilext26_clean.csv
| 302,612,322,717,941,760
|
2013_Russia_meteor-tweets_labeled.csv
|
meteor
|
meteor
|
Not related_Not labeled_Not labeled
|
Floods in #JammuKashmir ! First time in the last 60 years. How much more we need to wait before we take our envrironment seriously ?
| 1
|
50k_CrisisNLP_CrisisNLP_clean.csv
| 508,706,099,965,354,000
|
2014_Pakistan_floods_CF_labeled_data.tsv
|
flood
|
flood
|
other_useful_information
|
The latest Military Gifts Specialists! #hurricaneirma #airmen
| 1
|
76k_HumAID_humaid_clean.csv
| 908,936,510,925,353,000
|
hurricane_irma_2017_train.tsv
|
storm
|
hurricane
|
other_relevant_information
|
@smashedpenney I am just jealous cause I am 5 min away from the fun but lack a sitter tonight. Lol
| 0
|
60k_disaster-watch-classifier-master_disaster_watch_clean.csv
| 348,321,817,628,385,300
|
60k_disaster-watch-classifier-master_disaster_watch_clean.csv
|
flood
|
flood
|
off-topic
|
1990 Nissan Navara Auto King Cab Ute in VGC $3,290.00 ***** Located on the Robina http://t.co/ZpzKN1N0
| 0
|
22k_ACL_ICWSM_2018_datasets_acl_icwsm_clean.csv
| 296,182,909,377,843,200
|
2013_Queensland_Floods_train.tsv
|
flood
|
flood
|
not_relevant
|
I liked a @YouTube video https://t.co/6dm1TyzdQd Who Am I to Stand in Your Way (W/ Lyrics) @chestersee
| 0
|
150k_archiveteam
| 1,045,825,849,411,424,300
|
150k_archiveteam
|
unknown
|
unknown
|
target_zero
|
@cityofcalgary: .@nenshi Macleod trail is fully open to traffic - they built a road in 1 day #yycroads #yycroads #yyctraffic - Amazing!!
| 1
|
60k_disaster-watch-classifier-master_disaster_watch_clean.csv
| 349,945,510,792,151,040
|
60k_disaster-watch-classifier-master_disaster_watch_clean.csv
|
flood
|
flood
|
on-topic
|
Guy Fieri is consistently good and decent and most of the critique about him and his taste in food is classist bullshit, don't @ me.
| 0
|
76k_HumAID_humaid_clean.csv
| 1,062,108,606,802,333,700
|
california_wildfires_2018_train.tsv
|
fire
|
wild_fire
|
not_humanitarian
|
Magnitude 1.4 #earthquake, 18.6 km NW of Mammoth Lakes, CA http://t.co/zRxwoJ7NBJ
| 1
|
50k_CrisisNLP_CrisisNLP_clean.csv
| 503,871,841,740,415,000
|
2014_California_Earthquake.csv
|
earthquake
|
earthquake
|
Other relevant information
|
Sinner is more dangerous than Sin! These myopic beef-eater rascals will not shun it till inundated frequently by Monsterous Flood Havoc. These homo sapiens, albeit not having cannine teeths, do not know that KERALA IS ABODE OF FIRST SANKARACHARYA-Epitome of SANATAN DHARAM.
| 1
|
76k_HumAID_humaid_clean.csv
| 1,036,580,980,927,000,600
|
kerala_floods_2018_train.tsv
|
flood
|
flood
|
infrastructure_and_utility_damage
|
http://t.co/500zARVQHv The Latest on Nepal Quake: Aid Worker in Epicenter District - New York Times #QuakeNewsApp
| 1
|
22k_ACL_ICWSM_2018_datasets_acl_icwsm_clean.csv
| 591,902,740,575,453,200
|
2015_Nepal_Earthquake_test.tsv
|
earthquake
|
earthquake
|
relevant
|
RT @creekboii38: I don't trust nobody
| 0
|
150k_archiveteam
| 917,058,162,271,899,600
|
150k_archiveteam
|
unknown
|
unknown
|
target_zero
|
A woman along with her son died in house collapse last night in Jalandhar while three persons were killed and two injured when lightning struck them at a village in Bihar's Banka district.
| 1
|
30k_disaster-response-classification-main_disres_clean.csv
| null |
30k_disaster-response-classification-main_disres_clean.csv
|
storm
|
storm
|
aid_related,death,buildings,weather_related,storm
|
Thanks for your concern. These are now the most destructive fires in California history. At least 5 people have died and thousands have lost their homes and belongings. If you'd like to help, donate here:
| 1
|
76k_HumAID_humaid_clean.csv
| 1,061,277,051,355,914,200
|
california_wildfires_2018_train.tsv
|
fire
|
wild_fire
|
injured_or_dead_people
|
Big Bruno in the squad the mora com on big man OA https://t.co/N3xu2aEFvi
| 0
|
16k_CrisisMMD_v2.0_crisismmdv2_clean.csv
| 876,094,560,081,981,400
|
srilanka_floods_final_data.tsv
|
flood
|
flood
|
not_informative_not_humanitarian
|
"Hey effing idiot dog owners who run their dogs on their bike in this weather...they are sprinters, not marathon runners. Keep them inside!"
| 0
|
200k_crisis_datasets_benchmarks_v1.0_informativness_clean.csv
| 641,710,510,413,447,200
|
crisis_consolidated_informativeness_filtered_lang_en_test.tsv
|
unknown
|
unknown
|
not_informative
|
these folks have done so much good- including helping local fire victims and first responders in LA area @FOXLA
| 1
|
76k_HumAID_humaid_clean.csv
| 1,168,219,633,758,822,400
|
hurricane_dorian_2019_dev.tsv
|
storm
|
hurricane
|
other_relevant_information
|
@BurrowsGirl it's a sensitive issue, I think some of them honestly believe abortion is murder
| 0
|
60k_disaster-watch-classifier-master_disaster_watch_clean.csv
| 349,769,984,706,232,300
|
60k_disaster-watch-classifier-master_disaster_watch_clean.csv
|
flood
|
flood
|
off-topic
|
Churches respond as death toll from California wild fires hits 80, with 993 people missing
| 1
|
76k_HumAID_humaid_clean.csv
| 1,064,608,430,168,526,800
|
california_wildfires_2018_train.tsv
|
fire
|
wild_fire
|
injured_or_dead_people
|
#Nepal can expect more than 30 #aftershocks greater than magnitude 5 over the next month http://t.co/QtmLo3evj3 via @NatureNews
| 0
|
22k_ACL_ICWSM_2018_datasets_acl_icwsm_clean.csv
| 592,593,931,214,291,000
|
2015_Nepal_Earthquake_test.tsv
|
earthquake
|
earthquake
|
not_relevant
|
#Maria knocks out power, triggers flooding in Puerto Rico https://t.co/V1DgR9SfSX https://t.co/2CVF9yumhP
| 1
|
16k_CrisisMMD_v2.0_crisismmdv2_clean.csv
| 910,579,574,337,146,900
|
hurricane_maria_final_data.tsv
|
storm
|
hurricane
|
informative_other_relevant_information
|
@kassssssssssidy Lol thats what friends are for!💕
| 0
|
150k_archiveteam
| 917,247,757,399,752,700
|
150k_archiveteam
|
unknown
|
unknown
|
target_zero
|
Happy Birthday Chance! May all your wishes come true. So proud of you. From Puerto Rico ❤️O9 @chanceperez @InRealLife https://t.co/UBYytRhlrS
| 0
|
16k_CrisisMMD_v2.0_crisismmdv2_clean.csv
| 929,081,799,522,779,100
|
hurricane_maria_final_data.tsv
|
storm
|
hurricane
|
not_informative_not_humanitarian
|
As the storm continued to rage, the family made their way with other terrified villagers to the firehouse.
| 1
|
30k_disaster-response-classification-main_disres_clean.csv
| null |
30k_disaster-response-classification-main_disres_clean.csv
|
storm
|
storm
|
aid_related,other_aid,weather_related,storm
|
Pleiades message HuMetKua Regarding Galactic Window 2015-2030: http://t.co/mjBtKbXxoW I made this short for everyone
| 0
|
50k_CrisisNLP_CrisisNLP_clean.csv
| 574,827,176,299,647,000
|
Landslides_Worldwide_en.csv
|
landslide
|
landslide
|
Not physical landslide
|
RT @alicemargon: accordion to a recent survey replacing words with musical instruments in a sentence often goes undetected.
| 0
|
150k_archiveteam
| 917,076,575,258,054,700
|
150k_archiveteam
|
unknown
|
unknown
|
target_zero
|
Looking for a place to drop off non-perishable food and new clothing for the victims of Hurricane Harvey?
| 1
|
76k_HumAID_humaid_clean.csv
| 902,657,812,656,001,000
|
hurricane_harvey_2017_test.tsv
|
storm
|
hurricane
|
other_relevant_information
|
RT @OvOJankiii: Tha Carter V was fire Young Sinatra IV was fire Lord please let Yandhi be fire too 🙏🏼🔥🔥🔥
| 0
|
150k_archiveteam
| 1,045,881,210,042,495,000
|
150k_archiveteam
|
unknown
|
unknown
|
target_zero
|
I'm at Kiewit Infrastructure Co (Edmonton, AB) http://t.co/5lluTn6AT1
| 0
|
60k_disaster-watch-classifier-master_disaster_watch_clean.csv
| 350,032,421,367,992,300
|
60k_disaster-watch-classifier-master_disaster_watch_clean.csv
|
flood
|
flood
|
off-topic
|
The injuries are starting!!! Please @dallascowboys stay healthy!!! ????????????
| 0
|
200k_crisis_datasets_benchmarks_v1.0_informativness_clean.csv
| 778,251,337
|
crisis_consolidated_informativeness_filtered_lang_en_dev.tsv
|
unknown
|
unknown
|
not_informative
|
#Maria weakens into tropical storm, to move away from #US https://t.co/zq1FtA9YhW https://t.co/LHv0303zWC
| 1
|
16k_CrisisMMD_v2.0_crisismmdv2_clean.csv
| 913,338,746,342,379,500
|
hurricane_maria_final_data.tsv
|
storm
|
hurricane
|
informative_other_relevant_information
|
Blue skies here in the Cinqo Ranch area of Houston over a tough area of flooding #Harvey @weatherchannel
| 1
|
76k_HumAID_humaid_clean.csv
| 902,644,655,111,540,700
|
hurricane_harvey_2017_train.tsv
|
storm
|
hurricane
|
other_relevant_information
|
As a corporate slave I'm extremely pleased by the majority corporate reaction to #ABFlood #HailCorporate
| 1
|
60k_disaster-watch-classifier-master_disaster_watch_clean.csv
| 348,476,997,179,146,240
|
60k_disaster-watch-classifier-master_disaster_watch_clean.csv
|
flood
|
flood
|
on-topic
|
I don't care about your friends in high places, Vocta. Because when I have the appropriate evidence even they won't be
| 0
|
60k_disaster-watch-classifier-master_disaster_watch_clean.csv
| 350,154,978,100,387,840
|
60k_disaster-watch-classifier-master_disaster_watch_clean.csv
|
flood
|
flood
|
off-topic
|
Crack me up! Progressive marxist calling for the destruction of Mar-a-Lago. These democrats are deranged psychopaths. I have never heard a conservative 12 presidential election wish harm to anyone or property loss like the democrats have with Dorian. Are we at war?
| 1
|
76k_HumAID_humaid_clean.csv
| 1,168,241,416,226,713,600
|
hurricane_dorian_2019_test.tsv
|
storm
|
hurricane
|
other_relevant_information
|
There's a Malayalam saying: When you wear it is bermuda shorts, when I wear it is a mere chaddi" German aid (yes, soft loan" is a form of foreign aid) to clean a river is wawwwww but UAE's financial assistance for #KeralaFloodRelief is thoooo, apparently.
| 0
|
76k_HumAID_humaid_clean.csv
| 1,035,462,114,918,334,500
|
kerala_floods_2018_train.tsv
|
flood
|
flood
|
not_humanitarian
|
Six years later, I ve finally felt an earthquake! #eqca
| 1
|
14k_eyewitness_tweets_annotations_14k_public_eyewitness_clean.csv
| null |
earthquakes_eyewitness_crowdflower_2000.tsv
|
earthquake
|
earthquake
|
direct_eyewitness
|
RT @Crisprtek: the only parts of europe with proper natural desert are italy and spain afaik, white people are not meant to live in deserts
| 0
|
150k_archiveteam
| 1,045,832,472,217,346,000
|
150k_archiveteam
|
unknown
|
unknown
|
target_zero
|
Death toll at 39 in Texas as Houston begins to assess the damage left behind by #Harvey.
| 1
|
76k_HumAID_humaid_clean.csv
| 903,652,853,654,274,000
|
hurricane_harvey_2017_train.tsv
|
storm
|
hurricane
|
injured_or_dead_people
|
lil tings move when the ritmos flood the room yah https://t.co/s62NT5Vnf4
| 0
|
14k_eyewitness_tweets_annotations_14k_public_eyewitness_clean.csv
| null |
floods_eyewitness_annotations_2000.tsv
|
flood
|
flood
|
dont_know
|
"Only Black people die of #Ebola in #America #America is #Racist"
| 0
|
200k_crisis_datasets_benchmarks_v1.0_informativness_clean.csv
| 534,597,473,567,006,700
|
crisis_consolidated_informativeness_filtered_lang_en_train.tsv
|
unknown
|
unknown
|
not_informative
|
RT @HesNanaYaw: Guess who's shouting Queen Queen 😂😂😂 https://t.co/ADV2iKHTtI
| 0
|
150k_archiveteam
| 1,158,651,754,587,799,600
|
150k_archiveteam
|
unknown
|
unknown
|
target_zero
|
The Week the Earth Stood Still: by @nytegan via @nytimes #HurricaneHarvey #climatechange #ClimateAction
| 1
|
76k_HumAID_humaid_clean.csv
| 903,744,229,633,118,200
|
hurricane_harvey_2017_test.tsv
|
storm
|
hurricane
|
other_relevant_information
|
RT @STcom: #SGHaze update: Vivian Balakrishnan urges Indonesia to name companies responsible for forest fires http://t.co/Jv2MbXnAOe
| 1
|
28k_CrisisLexT26-v1.0_crisilext26_clean.csv
| 346,892,290,490,523,650
|
2013_Singapore_haze-tweets_labeled.csv
|
haze
|
haze
|
Related and informative_Other Useful Information_Media
|
But what do we know of the heart nearest to our own? What do we know of our own heart?
| 0
|
150k_archiveteam
| 1,158,820,021,675,659,300
|
150k_archiveteam
|
unknown
|
unknown
|
target_zero
|
TELL TO RED CROSS COMITY THERE ARE LOTS OF VICTIMS THEY NEVER GOT ANY HELP
| 1
|
200k_crisis_datasets_benchmarks_v1.0_informativness_clean.csv
| 5,507
|
crisis_consolidated_informativeness_filtered_lang_en_train.tsv
|
unknown
|
unknown
|
informative
|
Listening to Beni Mora by Gustav Holst on Gustav Holst - Orchestral Works. https://t.co/yWhkp14P53 https://t.co/nTdwpozEFF
| 0
|
16k_CrisisMMD_v2.0_crisismmdv2_clean.csv
| 876,714,985,937,883,100
|
srilanka_floods_final_data.tsv
|
flood
|
flood
|
not_informative_not_humanitarian
|
Hopefully they will go home anon & everything will be all right again #NepalEarthquake
| 0
|
22k_ACL_ICWSM_2018_datasets_acl_icwsm_clean.csv
| 592,759,160,938,324,000
|
2015_Nepal_Earthquake_dev.tsv
|
earthquake
|
earthquake
|
not_relevant
|
Cousin, rain will wet me much the efforts made can be a tent for me because it's very bad for me. said,''time''to me I lay in my car every day wet
| 1
|
200k_crisis_datasets_benchmarks_v1.0_informativness_clean.csv
| 9,926
|
crisis_consolidated_informativeness_filtered_lang_en_train.tsv
|
unknown
|
unknown
|
informative
|
RT @HeyTammyBruce: The latest: The Cat5 storm leveled Barbuda, damaging 95% of its buildings & leaving the island barely habitable." http
| 1
|
76k_HumAID_humaid_clean.csv
| 905,636,772,109,066,200
|
hurricane_irma_2017_test.tsv
|
storm
|
hurricane
|
infrastructure_and_utility_damage
|
Maria regains strength to become a hurricane, once again https://t.co/ly98R5IdK3 #news #World https://t.co/6ocokzgRn5
| 1
|
16k_CrisisMMD_v2.0_crisismmdv2_clean.csv
| 913,066,714,560,127,000
|
hurricane_maria_final_data.tsv
|
storm
|
hurricane
|
informative_other_relevant_information
|
My beautiful Puerto Rico has been destroyed o2 #HurricaneMaria
| 1
|
76k_HumAID_humaid_clean.csv
| 912,103,624,439,889,900
|
hurricane_maria_2017_test.tsv
|
storm
|
hurricane
|
infrastructure_and_utility_damage
|
While @SecretaryZinke is pointing fingers at radical environmentalists" for California wildfires, he has been busy stacking his @Interior with Koch brothers plants. #swamp
| 1
|
76k_HumAID_humaid_clean.csv
| 1,065,249,755,700,310,000
|
california_wildfires_2018_train.tsv
|
fire
|
wild_fire
|
other_relevant_information
|
New Zealand is bad with earthquakes and tsunami.
| 1
|
76k_HumAID_humaid_clean.csv
| 797,820,960,464,244,700
|
kaikoura_earthquake_2016_train.tsv
|
earthquake
|
earthquake
|
caution_and_advice
|
Use my code J5Z1W and get bonus https://t.co/RA54upqFin
| 0
|
150k_archiveteam
| 1,045,897,572,018,270,200
|
150k_archiveteam
|
unknown
|
unknown
|
target_zero
|
Just been plotting on the low, scheming on the low a_"C
| 0
|
50k_CrisisNLP_CrisisNLP_clean.csv
| 573,824,743,788,441,600
|
Landslides_Worldwide_en.csv
|
landslide
|
landslide
|
Not physical landslide
|
RT @tReTrE1982: I love reading you. You just don't know it. -Tre
| 0
|
150k_archiveteam
| 1,409,020,023,830,687,700
|
150k_archiveteam
|
unknown
|
unknown
|
target_zero
|
#HurricaneDorian hitting the Bahamas as a category 5 hurricane. Damage is expected to be devastating. #HurricaneDorian2019
| 1
|
76k_HumAID_humaid_clean.csv
| 1,168,332,636,131,139,600
|
hurricane_dorian_2019_train.tsv
|
storm
|
hurricane
|
infrastructure_and_utility_damage
|
End of preview. Expand
in Data Studio
Description
Dataset created for Master's thesis "Detection of Catastrophic Events from Social Media" at the Slovak Technical University Faculty of Informatics.
Contains posts from social media that are split into two categories:
- Informative - related and informative in regards to natural disasters
- Non-Informative - unrelated to natural disasters
Other metadata include event type, source dataset etc. To balance classes, 50k tweets from twitter archive for years 2017-2022 were added.
Distributions
Source Datasets:
| Name | Count |
|---|---|
| Kaggle 1 - URL | 951 |
| Kaggle 2 - URL | 579 |
| Kaggle 3 - URL | 3782 |
| Zahra et al. - URL | 6494 |
| CrisisMMD - URL | 11043 |
| Alam et al. - URL | 11133 |
| CrisisLexT26 - URL | 14998 |
| Imran et al. - URL | 16549 |
| CrisisLexT6 - URL | 22672 |
| HumAID - URL | 42837 |
| CrisisBench - URL | 31158 |
| ArchiveTeam - URL | 49191 |
| Total | 211387 |
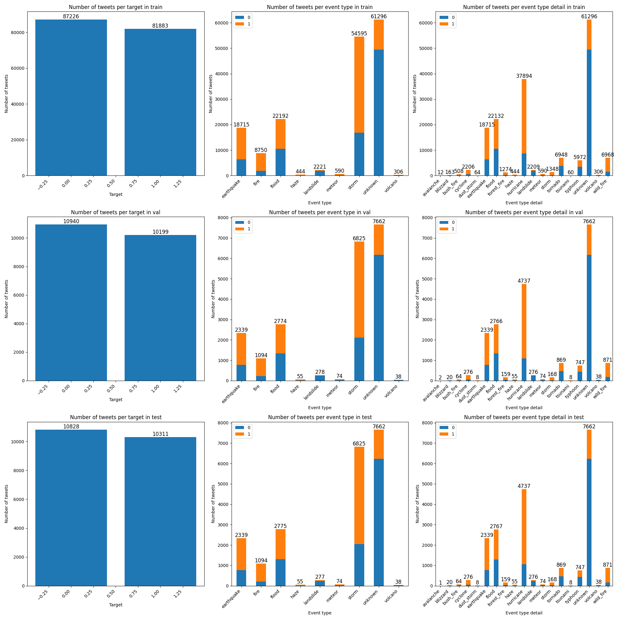
Total Event counts:
| Type | Non-Informative | Informative | Total |
|---|---|---|---|
| Unknown | 61880 | 14740 | 76620 |
| Storm | 20944 | 47301 | 68245 |
| Flood | 13104 | 14637 | 27741 |
| Earthquake | 7844 | 15549 | 23393 |
| Fire | 2343 | 8595 | 10938 |
| Landslide | 2392 | 384 | 2776 |
| Meteorite | 193 | 545 | 738 |
| Haze | 51 | 503 | 554 |
| Volcano | 243 | 139 | 382 |
- Downloads last month
- 12
